Ne pliez pas les mains courantes Bendywood® directement sur la rampe!
Pré-pliiez les mains courantes sur un gabarit, en les surpliant d'environ 30 %!Vous pouvez trouver les instructions au lien suivant :
Comment plier les mains courantes sur un gabarit ?
Les mains courantes Bendywood® peuvent être courbées jusqu'à un rayon de 20 fois la section transversale du profil. Par exemple, une main courante ronde d'un diamètre de 40 mm jusqu'à un rayon de 800 mm et un profil de 50 mm jusqu'à un rayon de 1.000 mm.Afin de pouvoir courber jusqu'à cette limite, un taux d'humidité du bois d'environ 12% est absolument indispensable !
Voir 2. Comment courber et augmenter l'humidité du Bendywood®.
Les mains courantes Bendywood® sont livrées avec un taux d'humidité du bois d'environ 12%.
Les mains courantes ne doivent pas être pliées immédiatement: emballées elles retiennent l'humidité pendant 2 bons mois.
N'enlevez les mains courantes de leur emballage que juste au moment où vous commencez avec le cintrage.
ATTENTION :
Les mains courantes pré-courbées s'ouvrent lorsqu'elles sont retirées du gabarit :
elles ont été « sur-courbées », c'est-à-dire courbées avec des rayons de courbure plus petits pour compenser cette ouverture.
Voir le lien suivant :« Retour élastique après enlèvement du gabarit ».
Les mains courantes Bendywood® en promotion sont représentées dans le catalogue, voir ci-dessous : Catalogue
Les mains courantes pliables sont :
- en bois massif
- profilés finis, bruts poncés
- avec un taux d'humidité du bois de 12 %, prêtes à être courbées
COURBER À LA MAIN :
a. Courbez une main courante montante autour d'un gabarit horizontal :
cela est la meilleure solution, ainsi que la solution la plus facile pour des escaliers en colimaçon !
Dans ce but, les mains courantes avec joints normaux
conviennent également
Voir la vidéo pour une main courante ronde :
Voir la vidéo pour une main courante ronde avec partie inférieure plate :
PARTICULIÈREMENT IMPORTANT :
1. Toujours courber autour d’un gabarit - comme on peut le voir dans les vidéos
2. Positionner les contre-moules négatifs / les blocs de pressage exactement opposé aux joints
3. Pré-courber les mains courantes ascendantes autour d’un gabarit plat. Seulement après environ 24 heures le cintrage 3D peut être effectué sur la balustrade.
La vidéo suivante montre comment une telle main courante est installée en montant:
Le pré-cintrage à plat offre les avantages suivants :
- Les frais de transport sont moins élevés par rapport aux frais pour le transport de pièces longues droites.
- Il est possible d'effectuer le cintrage en montant pendant le montage.
- Il est également possible de combiner du bois normal avec le bois flexible Bendywood®.
- Des longueurs jusqu'à 12 m peuvent également être produites - comme fabrication spéciale.
- Il est également possible de fournir des profils avec rainure.
b. Courbez une main courante montante autour d'un gabarit / châssis de montage montant :
Lorsqu'il n'est pas possible de pré-plier à plat, comme par exemple pour des mains courantes qui montent
raides, et lorsqu'on souhaite pré-plier en 3D, des gabarits appropriés sont nécessaires.
Pour des illustrations et des exemples, voir : Gabarits de cintrage pour le Bendywood®
COURBER À L’AIDE D’UNE MACHINE CINTREUSE :
- Seulement les mains courantes avec joints obliques
peuvent être précourbées avec la machine cintreuse (jusqu'à un rayon de 1 : 30), car seulement des joints obliques peuvent supporter la pression mécanique de la machine cintreuse. Une main courante avec un diamètre de 40 mm, par exemple, peut être courbée jusqu’à un rayon de 1.200 mm. Le cintrage final - si nécessaire - jusqu'à un rayon de 1 : 20 doit être effectué à la main autour d'un gabarit ou sur le garde-corps. Voir la vidéo suivante à ce sujet :
- Resserrez le rayon de courbure progressivement en laissant passer la main courante entre les rouleaux de la machine non plus de 3 fois. Tenez aussi compte du fait que la machine cintreuse cylindre le bois et que du Bendywood® passé au rouleau arrive plus vite à sa limite de flexibilité. De ce fait, il faut cintrer une main courante de 40 mm de diamètre, par exemple, seulement jusqu'à un rayon de 1.200 mm avec la machine et après procéder avec le cintrage à la main.
- Les mains courantes avec joints normaux
NE peuvent PAS être cintrées avec la machine cintreuse.
COMMENT COURBER DES MAINS COURANTES NON RONDES VERS LE HAUT ?
Toutes les mains courantes tournent sur leur axe si elles sont courbées vers le haut : cette torsion n’est pas visible en cas de mains courantes rondes, vu qu’un profil rond reste toujours rond, même s’il est courbé. Quant à d’autres profils ou aux profils ronds avec rainure il faut compenser cette torsion, de sorte que la partie inférieure de ces profils reste toujours en bas.
Au mieux procéder comme suit : (en une seule phase de travail)
D’abord il faut courber la main courante à l’horizontale autour d'un gabarit. Puis vous bloquez la main courante sur le garde-corps (qui dans l’idéal a un fer plat ou pareil) en commençant par le haut. La « rotation » doit être effectuée à l’aide d’un serre-joint à bras long, que vous fixez sur la main courante à une distance d’environ 1,5 m afin d’avoir suffisamment de levier. Tournez et fixez la main courante peu à peu jusqu’à ce que la main courante entière repose sur le garde-corps.
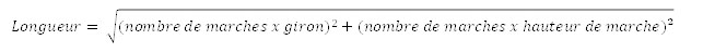
FORMULE POUR CALCULER LES LONGUEURS DE MAINS COURANTES D'ESCALIERS EN COLIMAÇON :

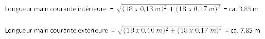
EXEMPLE :
Supposons :
- 18 marches
- Hauteur de marche : 17 cm
- Giron sous la main courante intérieure : 13 cm
- Giron sous la main courante extérieure : 40 cm










