No doble los pasamanos Bendywood® directamente sobre la barandilla!
Pre-doble los pasamanos sobre una plantilla, doblándolos en exceso aproximadamente un 30%!Puede encontrar las instrucciones en el siguiente enlace:
¿Cómo se doblan los pasamanos sobre una plantilla?
Pasamanos Bendywood® se pueden curvar hasta radios con medida de 20 veces la sección del perfil. P.ej. un perfil redondo de ø40 mm hasta un radio de 800 mm, uno de ø50 mm hasta un radio de 1.000 mm.¡Para poder doblar hasta este límite es indispensable que la humedad de la madera sea del 12%!
A ver el punto 2. Cómo curvar el Bendywood® y aumentar la humedad.
Los pasamanos Bendywood® se entregan con un nivel de humedad de la madera de aprox. 12%.
No es necessario doblar los pasamanos immediatamente: retienen la humedad durante unos buenos 2 meses-
Sacar el pasamano de su envase solamente de momento que se empieza a doblarlo.
ATENCIÓN:
Los pasamanos precurvados se abren cuando se retiran de la plantilla: han sido “sobrecerrados”, es decir, curvados con radios de curvatura más pequeños para compensar esta apertura.
Véase el siguiente enlace: “Retorno elástico después de averlo llevado del molde”.
Los pasamanos Bendywood® en oferta se muestran en el catálogo, vea abajo: Catálogo
Los pasamanos curvables son:
- de madera maciza
- perfilados terminados, en bruto y lijados
- con un 12% de humedad en la madera, listos para ser curvados
DOBLAR SOLO A MANO:
a. Doblar un pasamano que sube contra un molde plano:
¡Esta es la mejor solución y la más barata para escaleras de caracol!
Los pasamanos con juntas normales
son también adecuados para ello
Ver el vídeo para un pasamano redondo lleno:
Ver el vídeo para un pasamano redondo achatado:
PARTICULARMENTE IMPORTANTE:
1. Doblar siempre contra de un molde - como se muestra en los vídeos
2. Poner los contra-moldes negativos / trozos de madera para pressar exactamente opuesto las juntas
3. Doblar previamente los pasamanos ascendentes contra un molde plano y sólo entonces (después de aprox. 24 horas) proceder al curvado 3D sobre la barandilla.
El vídeo siguiente muestra cómo montar un tal pasamano hacia arriba:
Precurvar en plano tiene las siguientes ventajas:
- Gastos de entrega están más baratos que el coste para entregar piezas largas rectas.
- Se puede alcanzar la curva en subida durante del montaje.
- Está posible aún juntar perfiles de madera normal rígida con perfiles flexibles en Bendywood®.
- Hay la posibilidad de pedir largos hasto los 12 metros.
- También se aplica a pasamanos con hueco/ranura para fijar en placa de hierro.
- Nuestra oficina técnica examina siempre la viabilidad de los proyectos.
b. Doblar un pasamano que sube contra de un molde que sube:
Cuando no es posible pre-doblar en plano, como por ejemplo pasamanos que suben empinados,
y cuando se desea pre-doblar en 3D, se necesitan plantillas especiales.
Para ilustraciones y ejemplos, ver: Moldes para doblar Bendywood®
DOBLAR POR MÁQUINA CURVADORA:
- Solo para los pasamanos con juntas (a peine) diagonales
se puede emplear la máquina curvadora para pre-curvarlos (hasta un radio de 1 : 30), porque únicamente una junta a peine diagonal puede suportar la presión mecánica de la máquina curvadora. Ejemplo: un pasamano con diámetro 40 mm se puede pre-curvar hasta un radio de 1.200 mm. La curvatura final - si es necesaria - hasta un radio de 1 : 20, tiene que estar hecha a mano, apoyándose a la barandilla o contra de un molde. Ver el vídeo siguiente:
- Alcanzar el radio apretando progresivamente en no más de tres pasadas en máquina. Fijase que pasando por la calandra la madera se "estira" y que el Bendywood® "estirado" tendrá a llegar antes a su límite de curvabilidad. Por este motivo, se curva a máquina, por ejemplo, una barra de ø40 mm hasta un radio de 1.200 mm, y pues se tiene que continuar doblando a mano.
- Los pasamanos con juntas normales (a peine en vertical)
NO se pueden doblar con la máquina curvadora.
¿CÓMO DOBLAR LOS PASAMANOS NON REDONDOS ASCENDENTES?
Todos los pasamanos se "tornean" alrededor de su propio axis si se doblan hacia arriba (subiendo). Esta torsión no está visible en los pasamanos redondos, pues que un perfil redondo se queda igual aunque esta torneado. Para otros perfiles, non redondos o redondos con ranura, hay que contrastar esta torsión, así que el pasamano pueda quedarse en plano.
Proceder idealmente como sigue (en un único ciclo de trabajo):
Antes todo, curvar el pasamano en plano contra de un molde. Pues empezar a fijar el pasamano a lo largo de la barandilla (platilla de hierro o parecido), empezando desde la cima de la escalera hacia abajo. "Tornear" el pasamano con la ayuda de un zuncho a brazo largo, que se agarre a una distancia de unos 150 cm de manera que permita una palanca suficiente. "Torcer" el perfil con fuerza, trozo por trozo, y fijarlo como explicado arriba hasta que todo el pasamano estará torneado y fijado en plano.
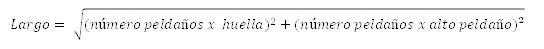
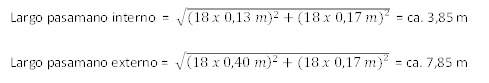
FÓRMULA PARA EL CÁLCULO DEL LARGO DE PASAMANOS PARA ESCALERAS DE CARACOL:

EJEMPLO:
Supuesto:
- 18 peldaños
- Alto peldaño: 17 cm
- Huella abajo del pasamano interno: 13 cm
- Huella abajo del pasamano externo: 40 cm










